Центр управления городом
г. Ульяновск
(8422) 73-79-11
Горячая линия
по вопросам ЖКХ
Центр управления городом
г. Ульяновск
Главная
О ЦУГ
Общая информация
Контакты
Наши публикации
Благодарности
Структура
Учредительные документы
Мероприятия
Рейтинг УК
Общественные советы
Школа грамотного потребителя
Мобильная приёмная
Отключения коммунальных услуг
Запись на прием
Противодействие коррупции
Оставить сообщение
Сообщение в Центр управления городом (Ульяновск)
Проверить по номеру
Новости
FAQ
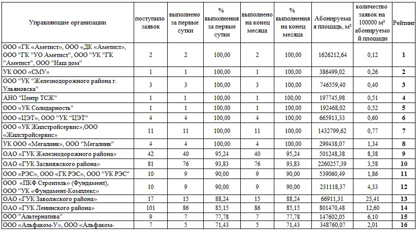
Рейтинг УО по работе с аварийными заявками в августе 2017 года
Опубликовано: 18.09.2017 15:05
Вернуться к списку новостей